Добрый вечер! Можете, пожалуйста, помочь мне по математике, номер 1424, 2 задание с подробным условием. 6 класс. Заранее огромнейшее спасибо
Приложения:

Ответы
Ответ дал:
0
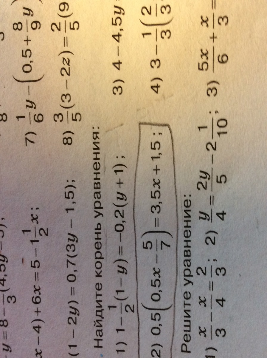
2)
0,5 × ( 0,5х - 5/7 ) = 3,5х + 1,5
0,25x - 5/14 = 3,5x + 1,5
-1,5 - 5/14 = 3,5x - 0,25x
15/28 = 3,25x
x = 15/28 : 3,25 = 15/364
0,5 × ( 0,5 × 15/364 - 5/7 ) = 3,5 × 15/364 + 1,5
0,5 × ( 0,5х - 5/7 ) = 3,5х + 1,5
0,25x - 5/14 = 3,5x + 1,5
-1,5 - 5/14 = 3,5x - 0,25x
15/28 = 3,25x
x = 15/28 : 3,25 = 15/364
0,5 × ( 0,5 × 15/364 - 5/7 ) = 3,5 × 15/364 + 1,5
Вас заинтересует
2 года назад
2 года назад
2 года назад
2 года назад
7 лет назад
9 лет назад