используя метод электронного баланса найдите коэфицент в окислительно восстановительной реакции KMnO4+KCl++H2SO4➡Cl2+MnSO4+K2SO4+H2O
помогите плиз,срочно
Ответы
Ответ дал:
10
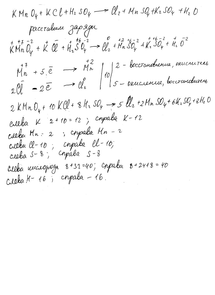
Решение во вложении. Должно быть понятно. В первом файле готовый ответ. В последнем из двух расписано все ))
Приложения:
JONspoon:
огромное спасибо,спас))
Ответ дал:
4
Mn(+7) +5e = Mn(+2) окислитель, но сам при этом восстанавливается
2Cl(-) - 2e = Cl2(0) восстановитель, но сам при этом окисляется
Общий коэффициент равен 10: 2Mn(+7) + 10Cl(-) = 2Mn(+2) + 5Cl2
2KMnO4 + 10KCl + 8H2SO4 = 2MnSO4 + 5Cl2 + 6K2SO4 + 8H2O
2Cl(-) - 2e = Cl2(0) восстановитель, но сам при этом окисляется
Общий коэффициент равен 10: 2Mn(+7) + 10Cl(-) = 2Mn(+2) + 5Cl2
2KMnO4 + 10KCl + 8H2SO4 = 2MnSO4 + 5Cl2 + 6K2SO4 + 8H2O
Вас заинтересует
2 года назад
2 года назад
2 года назад
2 года назад
7 лет назад
7 лет назад
9 лет назад