• Предмет: Математика
  • Автор: kunitsynapolina
  • Вопрос задан 3 года назад

ПОЖАЛУЙСТА СРОЧНО НАДО С РЕШЕНИЕМ!!!!!!!!!!!!!

Квадратные скобки это если что к/с

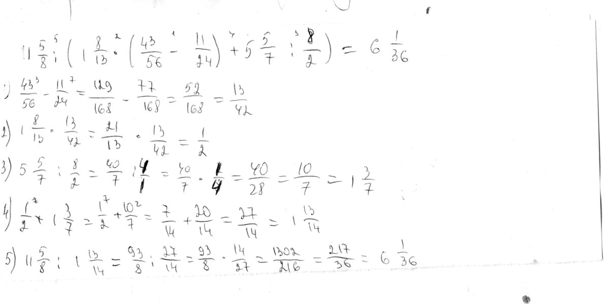
11 5/8 : к/с 1 8/13*(43/56 - 11/24)+5 5/7 : 8/2к/с =

Ответы

Ответ дал: Nastya171167
0
смотри решение во вложении
Приложения:
Вас заинтересует