• Предмет: Математика
  • Автор: cahard
  • Вопрос задан 11 лет назад

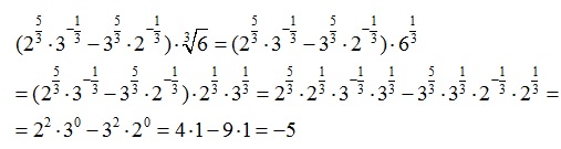
(2^{5/3}*3^{-1/3}-3^{5/3}*2^{-1/3})sqrt[3]{6}

Помогите решить пожалуйста. 

Ответы

Ответ дал: Andrionix
0

смотри прикрепленный файл с картинкой

Приложения:
Вас заинтересует