• Предмет: Алгебра
  • Автор: ikurtoko
  • Вопрос задан 3 года назад

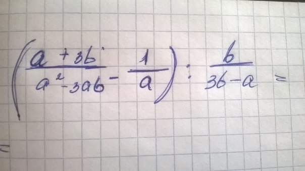
помогите преобразовать выражение!срочно!11 баллов!

Приложения:

Ответы

Ответ дал: m11m
2
( a+3b  -  1  ) :   b   =( a+3b  -  1  )  *  3b-a = a+3b-(a-3b)   *   -(a-3b) =
(a²-3ab     a )   3b-a   (a(a-3b)    a )        b        a(a-3b)                b

=a+3b-a+3b  *  -1   = - 6b = -6 
         a               b        ab     a
Вас заинтересует