• Предмет: Математика
  • Автор: SivkovSasha
  • Вопрос задан 2 года назад

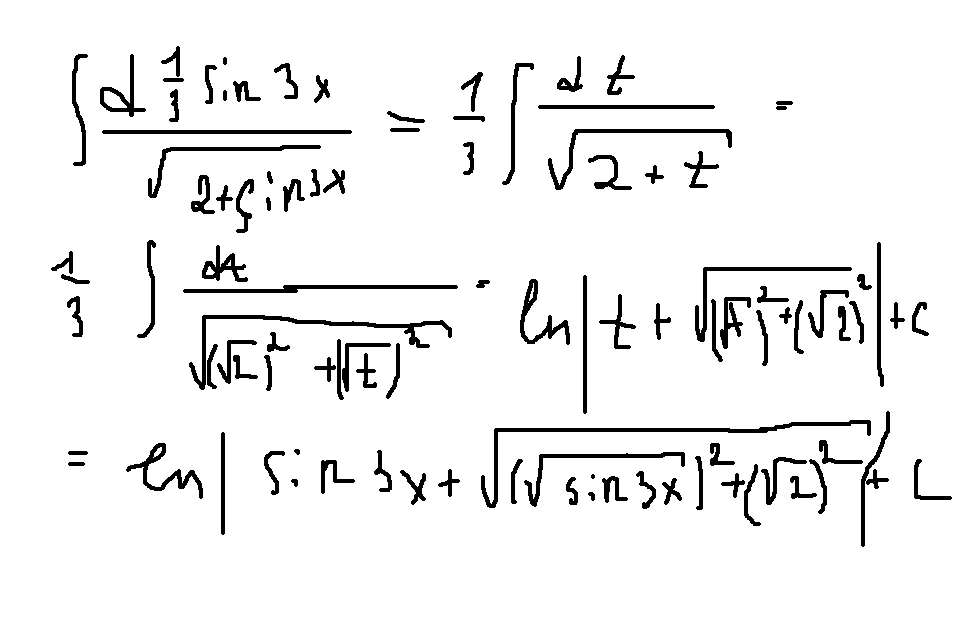
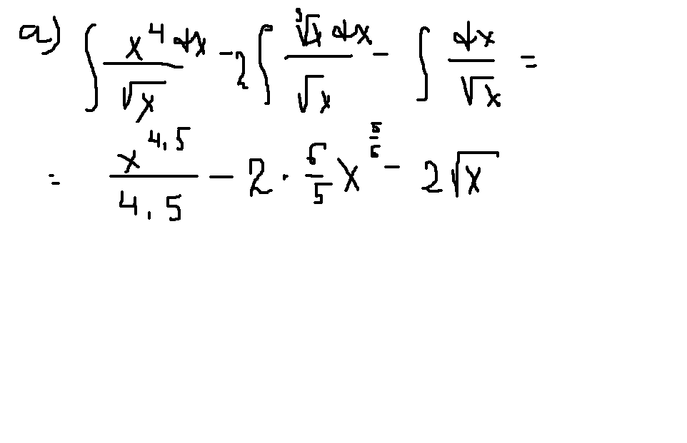
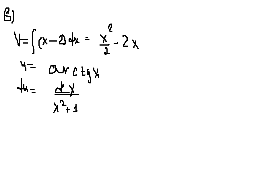
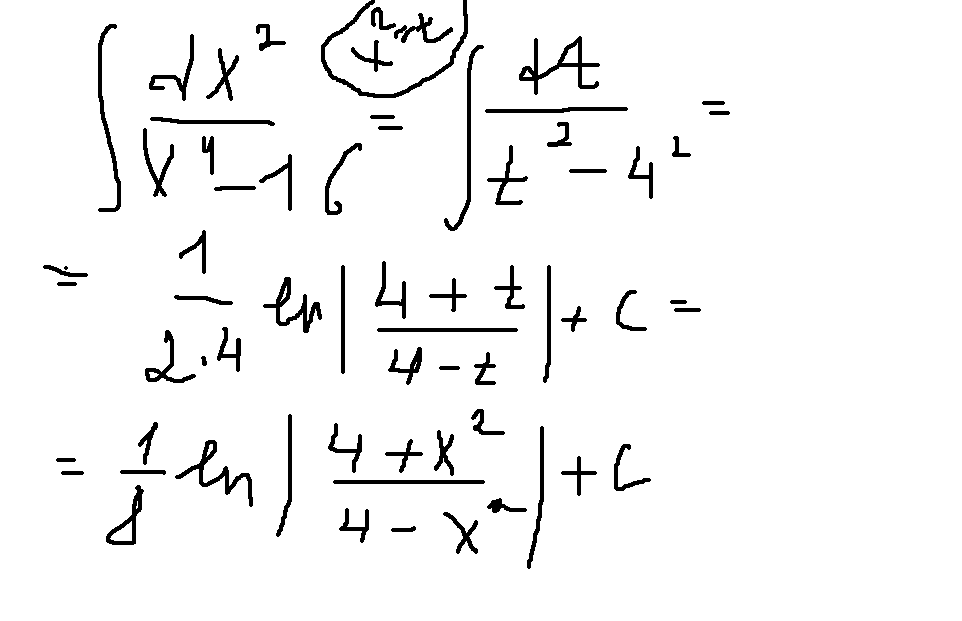
Помогите с интегралами Пожалуйста

Приложения:

Ответы

Ответ дал: zontik24
1
третий не стал расписывать. Подсказал, какую замену сделать, а дальше -  это уже дело техники
Приложения:

SivkovSasha: спасибо Большое=)
SivkovSasha: а куда вы в 4 подевали (2x-1)
zontik24: да, 4 забыл )
Вас заинтересует