Ребяткиии *-* Помогите!!
6 класс математики.
Кто решит, буду ооочень благодарна! ( ˘ ³˘)
Приложения:
afsegf644:
ну давай
б или в
Что давай? (╯︵╰)
И б) и в)
ща
Я вырезала то, что надо сделать.
Спасибо, если решишь
Ответы
Ответ дал:
1
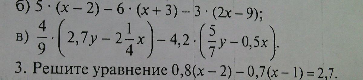
б)
=====
в)
====
3)
0,8(x-2)-0,7(x-1)=2,7
0,8x-1,6-0,7x+0,7=2,7
0,1x-0,9=2,7
0,1x=2,7+0,9
0,1x=3,6
x=3,6:0,1
x=36
=====
в)
====
3)
0,8(x-2)-0,7(x-1)=2,7
0,8x-1,6-0,7x+0,7=2,7
0,1x-0,9=2,7
0,1x=2,7+0,9
0,1x=3,6
x=3,6:0,1
x=36
Спасиб, хоть это:)
Вас заинтересует
2 года назад
2 года назад
7 лет назад
7 лет назад