• Предмет: Алгебра
  • Автор: Australia
  • Вопрос задан 2 года назад

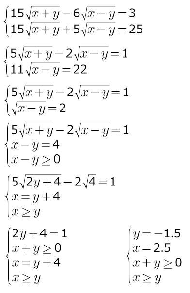
помогите с системой уравнений

Приложения:

Ответы

Ответ дал: LFP
0
---------------------------------------
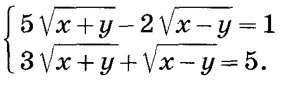
Приложения:
Вас заинтересует