• Предмет: Геометрия
  • Автор: lila9876
  • Вопрос задан 3 года назад

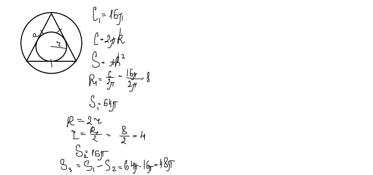
около правильного треугольника описана окружность и в него вписана окружность.вычислите площадь кольца,ограниченного этими окружностями,если известно, что длина описанной окружности равна 16π

Ответы

Ответ дал: leralins
9
вот ответ, прости за почерк

Приложения:
Вас заинтересует