• Предмет: Алгебра
  • Автор: DJToxa
  • Вопрос задан 3 года назад

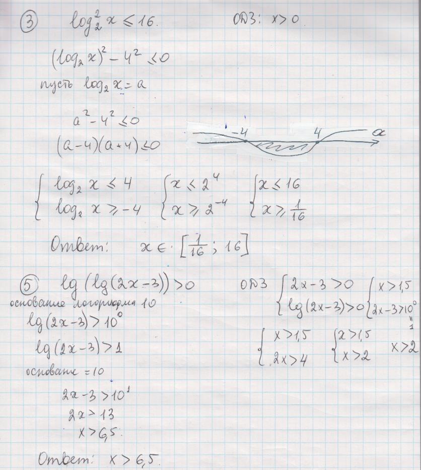
решите 3 и 5 неравенство))заранее спасибо

Приложения:

DJToxa: в 5 ответ будет x∈(6.5;+∞)??
belcatya: да, так
DJToxa: спасибо))вы просто спасли меня

Ответы

Ответ дал: belcatya
2
решение в приложении:
Приложения:

belcatya: у меня все правильно, что не так?
SkyBy: Всё должно быть верно, т.к. снимается по модулю.
Аноним: Для чего написано x>0?
Аноним: Сейчас попрошу модератора отменить!
belcatya: это ОДЗ для x
belcatya: спасибо! (я всегда соглашаюсь когда не права, но тут все правильно!)
Ответ дал: Аноним
1
3)ОДЗ  x>0
log(2)x=a
a²-16≤0
a²=16⇒a=-4 U a=4
-4≤a≤4⇒-4≤log(2)x≤4⇒1/16≤x≤16
Ответ x∈(0;16]
5)ОДЗ 2x-3>0⇒2x>3⇒x>1,5
lg(2x-3)>1
2x-3>10
2x>13
x>6,5
x∈(6,5;∞)

DJToxa: а почему в 3 от нуля до 16?
DJToxa: вы можете объяснить почему от 0 до 16?пожалуйста
Аноним: Потому что под знаком логарифма может быть только положительное число
belcatya: ответ от 1/16 до 16, потому что 1/16>0
belcatya: Все решения входят в ОДЗ
Аноним: 1) x∈х1/16;16]
Аноним: 1) x∈[1/16;16]
Вас заинтересует