• Предмет: Физика
  • Автор: lescha123489
  • Вопрос задан 2 года назад

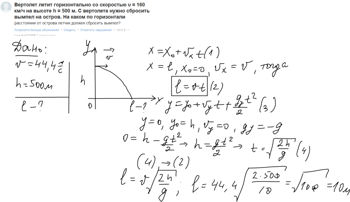
Вертолет летит горизонтально со скоростью υ = 160 км/ч на высоте h = 500 м. С вертолета нужно сбросить вымпел на остров. На каком по горизонтали расстоянии от острова летчик должен сбросить вымпел?

Ответы

Ответ дал: ГалинаВалентиновна
7
смотри решение в приложенном файле
Приложения:
Вас заинтересует