• Предмет: Математика
  • Автор: tornetto123
  • Вопрос задан 3 года назад

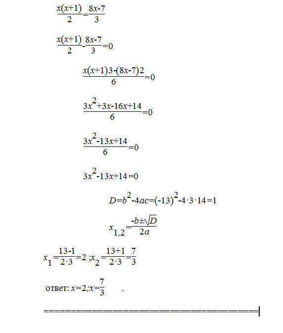
\frac{x(x+1)}{2}= \frac{8x-7}{3}

Ответы

Ответ дал: triolana
1
======================================================
Приложения:
Вас заинтересует