Ответы
Ответ дал:
1
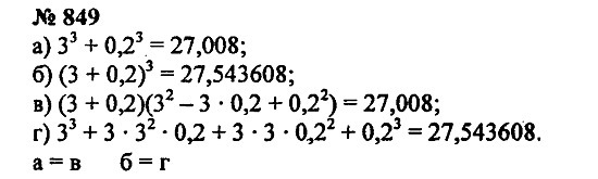
б) (3+0,2)³=32,768
г) 3³+3×3²×0,2+3×3×0,2²+0,2³=32,768
3×3×3=27
3×3=9
3×9=27
27×0,2=5,4
3×3=9
0,2×0,2=0,04
9×0,04=0,36
0,2×0,2×0,2=0,008
27+5,4=32,4
32,4+0,36=32,76
32,76+0,008=32,768
г) 3³+3×3²×0,2+3×3×0,2²+0,2³=32,768
3×3×3=27
3×3=9
3×9=27
27×0,2=5,4
3×3=9
0,2×0,2=0,04
9×0,04=0,36
0,2×0,2×0,2=0,008
27+5,4=32,4
32,4+0,36=32,76
32,76+0,008=32,768
Вас заинтересует
2 года назад
2 года назад
2 года назад
7 лет назад
7 лет назад
9 лет назад
9 лет назад