• Предмет: Алгебра
  • Автор: 87775637846
  • Вопрос задан 3 года назад

помогите пж заранне спасибо☺

Приложения:

Ответы

Ответ дал: tamarabernukho
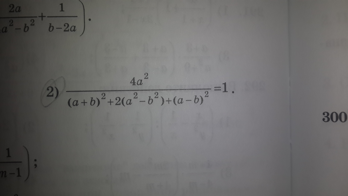
1
4a²/(a²+2ab+b²+2a²-2b²+a²-2ab+b²)=4a²/4a²=1

87775637846: помоги еще
87775637846: пж
Вас заинтересует