Какую массу льда взятого при -20 градусов цельсия можна превратить в воду при 20 градусов цельсия сжечь 100 гр бензина?
Ответы
Ответ дал:
1
1) найдем тепло от горения бензина
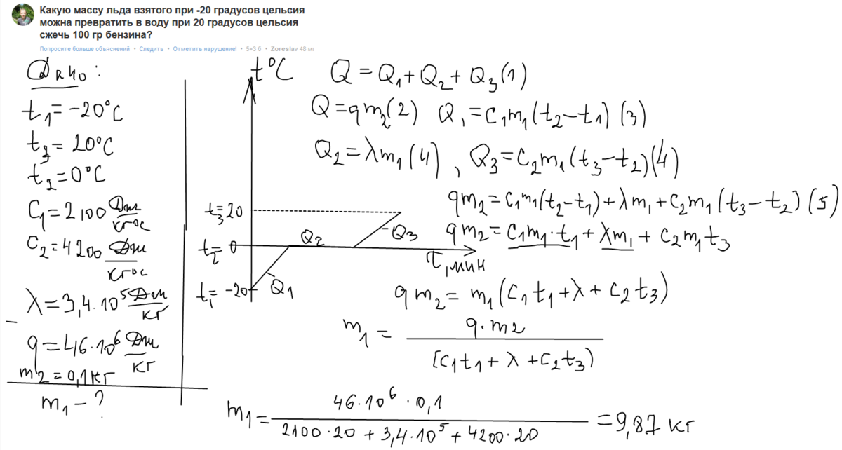
Q=q*m1=46*10^6*0,1=4,6*10^6 Дж
2) это тепло идет на нагревание льда, его плавление и нагревание воды
Q=c1*m*(0-t1) +л*m+ c2*m*(t-o)
m=Q/(c1*t1 +л+с2*t=4,6*10^6/(2100*20+3,4*10^5+4200*20)=9,87 кг
Q=q*m1=46*10^6*0,1=4,6*10^6 Дж
2) это тепло идет на нагревание льда, его плавление и нагревание воды
Q=c1*m*(0-t1) +л*m+ c2*m*(t-o)
m=Q/(c1*t1 +л+с2*t=4,6*10^6/(2100*20+3,4*10^5+4200*20)=9,87 кг
Ответ дал:
0
смотри решение на фото в приложенном файле
Приложения:

Вас заинтересует
2 года назад
2 года назад
2 года назад
7 лет назад
7 лет назад
9 лет назад