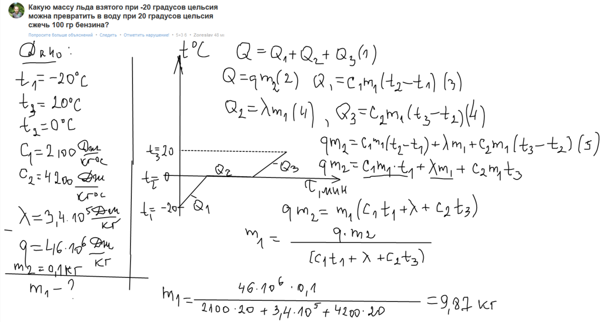
Какую массу льда взятого при -20 градусов цельсия можна превратить в воду при 20 градусов цельсия сжечь 100 гр бензина?
Ответы
Ответ дал:
0
смотри решение в приложенном файле на фото
Приложения:

Вас заинтересует
2 года назад
2 года назад
2 года назад
7 лет назад
7 лет назад
9 лет назад
9 лет назад