• Предмет: Алгебра
  • Автор: denis59
  • Вопрос задан 11 лет назад

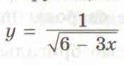
найдите область определения функции:

y=1/корень 6 -3x

Приложения:

Ответы

Ответ дал: Rodriguez
0

т.к. Вычислить корень из отрицательно числа нельзя то (6-3х) должно быть больше либо равно нулю. но так как на ноль делить нельзя то (6-3х) должно быть больше нуля.

6-3х>0

6>3x

2>x

x<2

О.О.Ф. (-беск. ; 2)

Вас заинтересует