Ответы
Ответ дал:
2
ответ 26 (пожалуйста)
aminochka100:
спасибо
Ответ дал:
2
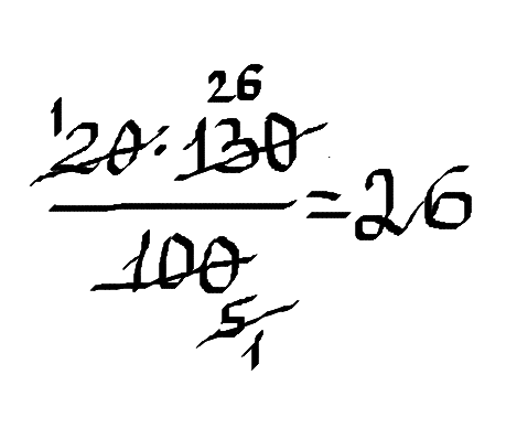
Чтобы найти процент от числа нужно это число умножить на процент, а потом разделить на 100%.
Получается дробь. Решение этого задания смотри в файлике. Там же сократила.
Получается дробь. Решение этого задания смотри в файлике. Там же сократила.
Приложения:

Вас заинтересует
2 года назад
2 года назад
2 года назад
2 года назад
7 лет назад
7 лет назад
9 лет назад
9 лет назад