• Предмет: Математика
  • Автор: ЛеночкаБ
  • Вопрос задан 3 года назад

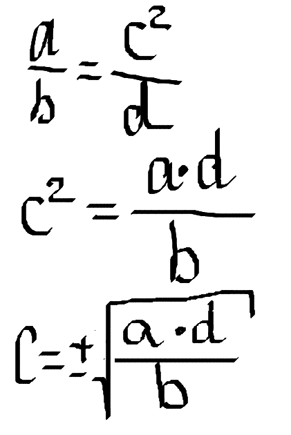
a/b=c2/d выразить переменную c.

Ответы

Ответ дал: SunnyStorm
1
Решение в файлике.

Darknight (Sunny Storm)
Приложения:
Вас заинтересует