Упростите выражение, пожалуйста, срочно! Распишите подробно
Приложения:

viber111000:
Эм... решение чего ?
Ответы
Ответ дал:
0
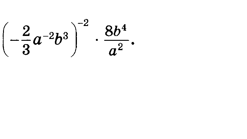
=1/(-2/3 *a^(-2)*b³)² * 8b^4/a² =9/4*a^4*/b^6*8b^4/a² = 18a²/b² .
Вас заинтересует
2 года назад
2 года назад
2 года назад
2 года назад
7 лет назад
7 лет назад
9 лет назад
9 лет назад