• Предмет: Алгебра
  • Автор: natashsa1
  • Вопрос задан 2 года назад

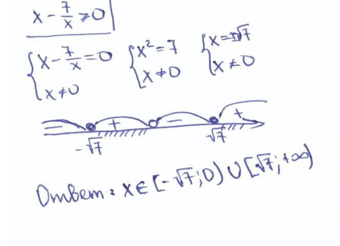
решите неравенство x-7/x ≥ 0

Ответы

Ответ дал: GoodChoice
1
Скорее всего  так....
Приложения:
Вас заинтересует