• Предмет: Алгебра
  • Автор: Аноним
  • Вопрос задан 11 лет назад

Даю много пунктов ,решите пожалуйста

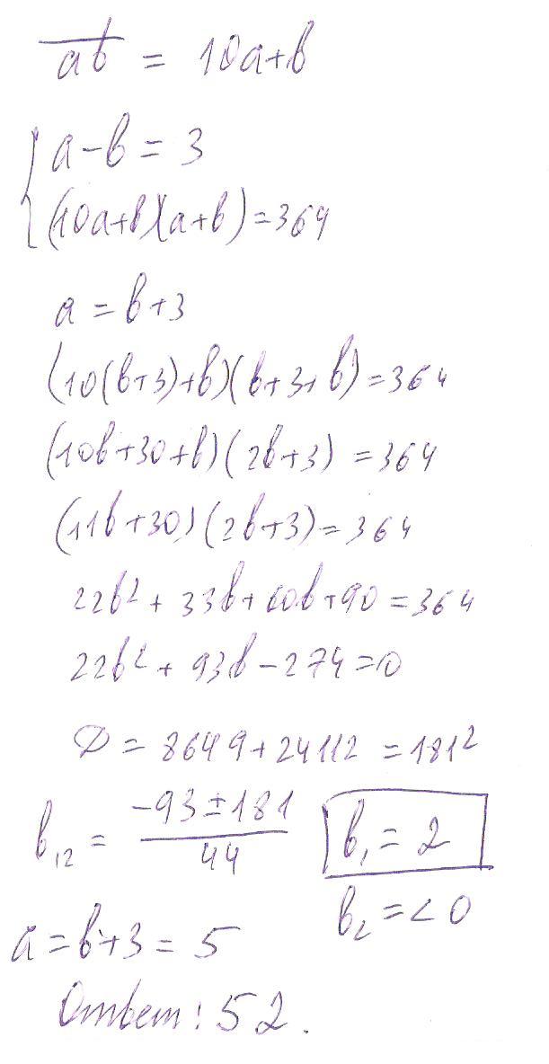
число единиц двузначного числа на 3 меньше числа его десятков. Произведение этого числа на сумму его цифр равна 364. Найти это число.

Ответы

Ответ дал: Artem112
0

надеюсь понятно будет...

Приложения:
Вас заинтересует