• Предмет: Физика
  • Автор: nJIux
  • Вопрос задан 11 лет назад

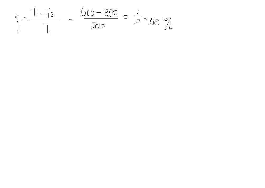
Определите максимальный КПД идеального теплового двигателя , температура нагревателя 600 градусов цельсия , а холодильника 300 градусов цельсия

Ответы

Ответ дал: Vanillka
0

решение в фотографии!!!!!!!!!!!!!!!!!!!!

Приложения:
Вас заинтересует