• Предмет: Физика
  • Автор: sashkagrodo1998
  • Вопрос задан 3 года назад

решите 1-ую и 3-юю задачи пж

Приложения:

Ответы

Ответ дал: ГалинаВалентиновна
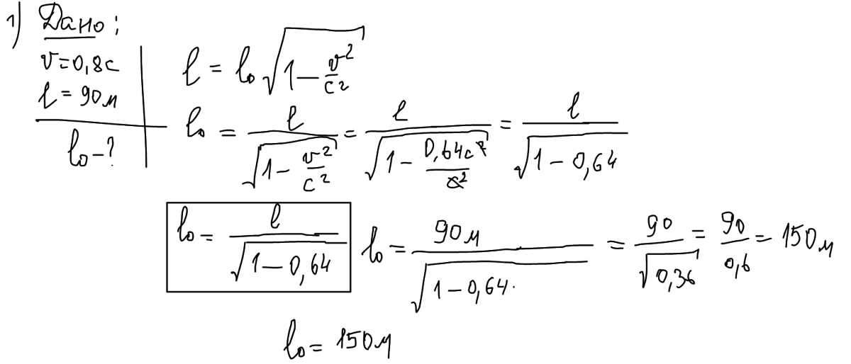
1
а 4й задачи нет!! 1ю задачу смотри на фото
Приложения:

sashkagrodo1998: а третюю
Вас заинтересует