• Предмет: Математика
  • Автор: elnuragamidova0
  • Вопрос задан 3 года назад

Пожалуйста решите.....

Приложения:

elnuragamidova0: а 5
elnuragamidova0: В 5 ом 2,36 и 0,3481

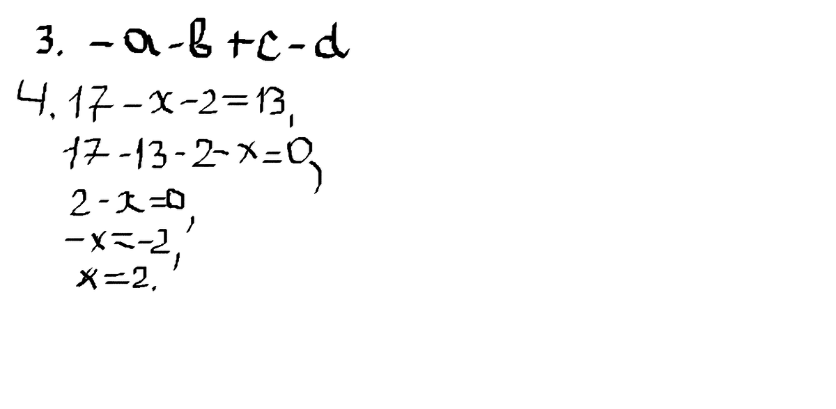
Ответы

Ответ дал: Julia1415
1
72+(1,3-42) - 0,7=72+1,3-42-0,7=30,6
Приложения:

elnuragamidova0: а 5
Julia1415: P=а+а+а+а=0,59+0,59+059+0,59=2,36
Julia1415: S=а*а=0,59*0,59=0,3481
Вас заинтересует