• Предмет: Физика
  • Автор: lenaam
  • Вопрос задан 3 года назад

есть только условие задачи
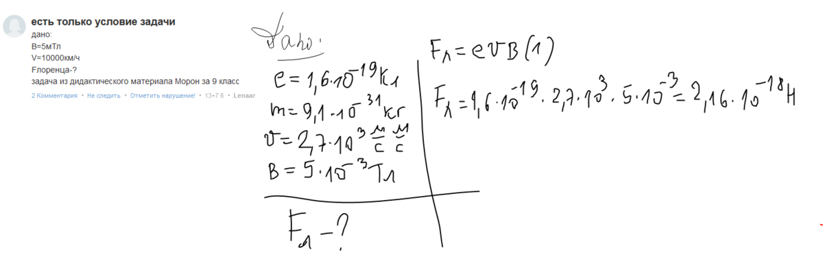
дано:
B=5мТл
V=10000км/ч
Fлоренца-?
задача из дидактического материала Морон за 9 класс


ГалинаВалентиновна: частица электрон?
lenaam: да

Ответы

Ответ дал: ГалинаВалентиновна
1
если я правильно поняла такое укороченное решение, то смотри на фото
Приложения:
Вас заинтересует