• Предмет: Математика
  • Автор: garah
  • Вопрос задан 3 года назад

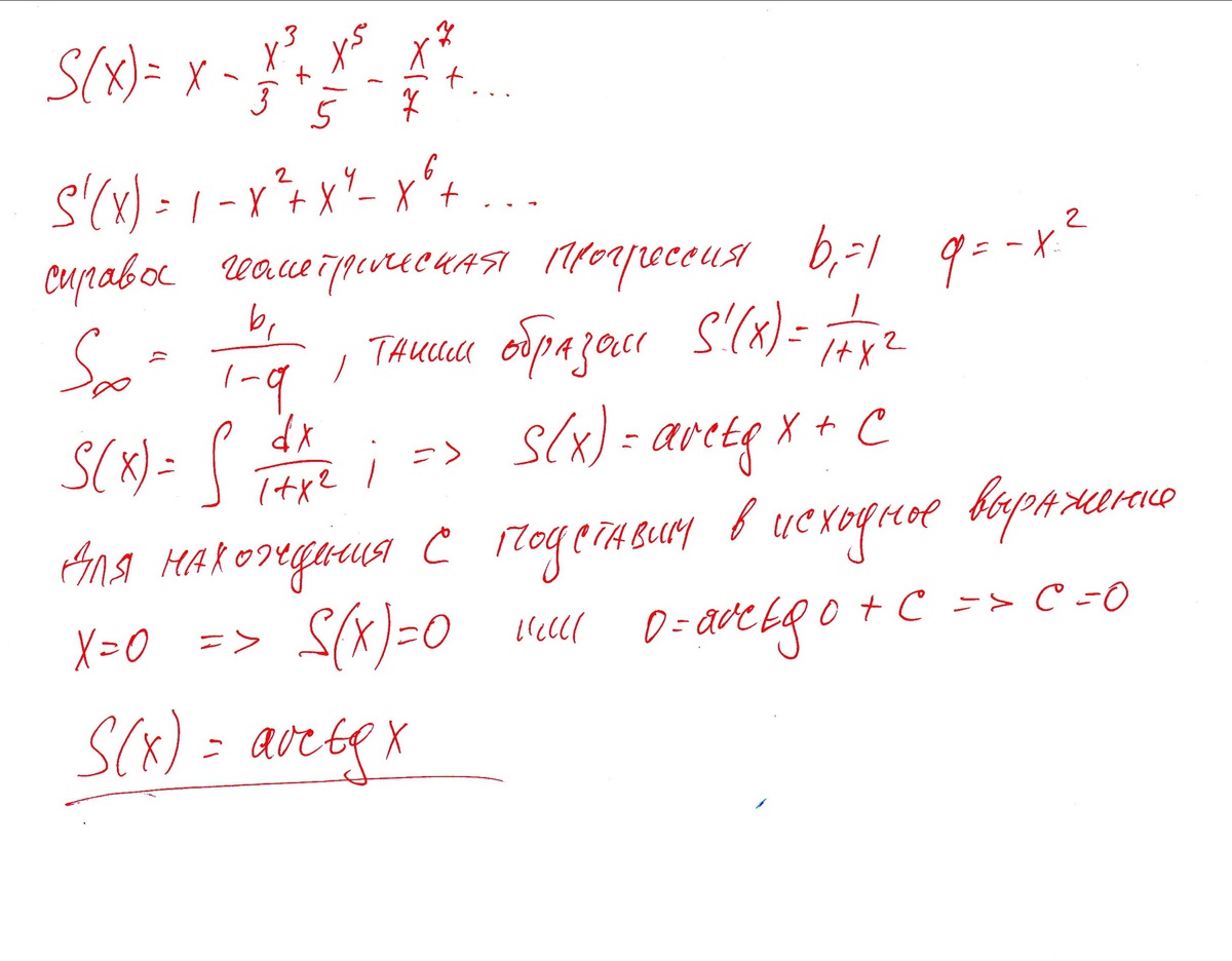
Задача на суммы рядов (почленное дифференцирование или интегрирование)
Помогите, пожалуйста!

Приложения:

Ответы

Ответ дал: vovar3573
1
Нужно заметить, что на концах промежутка, т.е. при x=+-1, ряд также сходится к арктангенсу. По теореме Абеля можно проверить.
Приложения:

garah: Спасибо Вам большое! =)
Вас заинтересует