Ответы
Ответ дал:
1
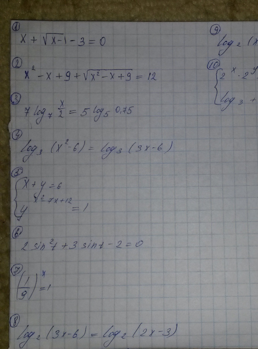
1. х+√(х-1) -3=0
√(х-1)=3-х
(√(х-1))²=(3-х)²
х-1=9-6х+х²
-х²+х+6х-1-9=0
х²-7х+10=0
Д=49-40=9
х₁=7-3= 2
2
х₂=7+3=5
2
Проверка корней:
х=2 2+√(2-1) -3=0
2+√1 -3=0
3-3=0
0=0
х=5 5+√(5-1) -3=0
5+√4 -3=0
7-3=0
4=0
х=5 - посторонний корень (не является корнем уравнения)
Ответ: 2.
2) х²-х+9+√(х²-х+9) =12
Пусть у=√(х²-х+9), тогда:
у²+у=12
у²+у-12=0
Д=1+4*12=49
у₁=-1-7=-4
2
у₂=-1+7=3
2
√(х²-х+9)=-4
нет решений.
√(х²-х+9)=3
(√(х²-х+9))²=3²
х²-х+9=9
х²-х+9-9=0
х²-х=0
х(х-1)=0
х=0 х-1=0
х=1
Проверка корней:
х=0 0²-0+9+√(0²-0+9)=12
9+√9 =12
9+3=12
12=12
х=1 1²-1+9+√(1²-1+9)=12
9+√9=12
12=12
Ответ: 0; 1.
6) 2 sin²t +3sint-2=0
Пусть sin t=y
2y²+3y-2=0
D=9-4*2*(-2)=9+16=25
y₁=-3-5=-2
4
y₂=-3+5= 1
4 2
sint=-2
Так как -2<-1, то
нет решений
sint= 1
2
t=(-1)^n * arcsin 1 +πn
2
t=(-1)^n * π + πn
6
Ответ: (-1)^n * π +πn
6
7. (1)^x =1
(9)
(1)^x = (1)⁰
(9) (9)
x=0
Ответ: 0.
√(х-1)=3-х
(√(х-1))²=(3-х)²
х-1=9-6х+х²
-х²+х+6х-1-9=0
х²-7х+10=0
Д=49-40=9
х₁=7-3= 2
2
х₂=7+3=5
2
Проверка корней:
х=2 2+√(2-1) -3=0
2+√1 -3=0
3-3=0
0=0
х=5 5+√(5-1) -3=0
5+√4 -3=0
7-3=0
4=0
х=5 - посторонний корень (не является корнем уравнения)
Ответ: 2.
2) х²-х+9+√(х²-х+9) =12
Пусть у=√(х²-х+9), тогда:
у²+у=12
у²+у-12=0
Д=1+4*12=49
у₁=-1-7=-4
2
у₂=-1+7=3
2
√(х²-х+9)=-4
нет решений.
√(х²-х+9)=3
(√(х²-х+9))²=3²
х²-х+9=9
х²-х+9-9=0
х²-х=0
х(х-1)=0
х=0 х-1=0
х=1
Проверка корней:
х=0 0²-0+9+√(0²-0+9)=12
9+√9 =12
9+3=12
12=12
х=1 1²-1+9+√(1²-1+9)=12
9+√9=12
12=12
Ответ: 0; 1.
6) 2 sin²t +3sint-2=0
Пусть sin t=y
2y²+3y-2=0
D=9-4*2*(-2)=9+16=25
y₁=-3-5=-2
4
y₂=-3+5= 1
4 2
sint=-2
Так как -2<-1, то
нет решений
sint= 1
2
t=(-1)^n * arcsin 1 +πn
2
t=(-1)^n * π + πn
6
Ответ: (-1)^n * π +πn
6
7. (1)^x =1
(9)
(1)^x = (1)⁰
(9) (9)
x=0
Ответ: 0.
Вас заинтересует
2 года назад
2 года назад
2 года назад
7 лет назад
9 лет назад
9 лет назад