Задача!!!На каком расстоянии от вершины пирамиды с высотой h надо провести сечение параллельно основанию, чтобы площадь сечения равнялась: 1) половине площади основания; 2) 1/4,3) 1/n площади основания?
Приложения:
Ответы
Ответ дал:
5
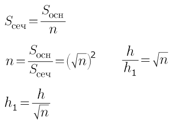
сечение --многоугольник подобный основанию
площади подобных фигур относятся как квадрат коэфф.подобия
расстояние от вершины пирамиды -- это высота меньшей пирамиды с основанием=сечением
отношение высот = коэфф.подобия
площади подобных фигур относятся как квадрат коэфф.подобия
расстояние от вершины пирамиды -- это высота меньшей пирамиды с основанием=сечением
отношение высот = коэфф.подобия
Приложения:
gfyhejnjk23:
я просила решение задач,которые я не смогла решить,они во влажении
Вас заинтересует
2 года назад
2 года назад
2 года назад
2 года назад
7 лет назад
7 лет назад