• Предмет: Алгебра
  • Автор: Ar4
  • Вопрос задан 11 лет назад

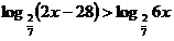
Подскажите область определения данного неравенства. А то я его решил, а преподаватель поставил минус и написал мол где ООН.

Приложения:

Ответы

Ответ дал: Milli205
0

2x-28>0   в пересечении 6x>0

2x>28                                    x>0

x>14  x>0    получаем  x>14

т.к. 2/7 ,<1   знак неравенства меняется имеем 2x-28<6x

                                                                                          -4x<28         x>-7   учитывая ООН x>14

Вас заинтересует