Ответы
Ответ дал:
0
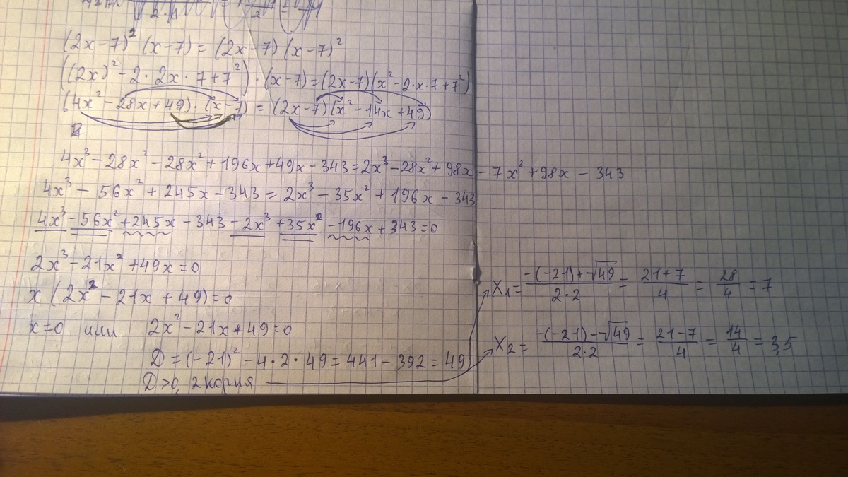
(2х-7)²(х-7)=(2х-7)(х-7)²
(2х-7)²(х-7)=1
(2х-7)(х-7)²
2х-7=1
х-7
2х-7=х-7
2х-х=-7+7
х=0
Ответ: 0.
(2х-7)²(х-7)=1
(2х-7)(х-7)²
2х-7=1
х-7
2х-7=х-7
2х-х=-7+7
х=0
Ответ: 0.
Ответ дал:
1
______________________
Приложения:

Вас заинтересует
2 года назад
2 года назад
2 года назад
2 года назад
7 лет назад
9 лет назад