Ответы
Ответ дал:
0
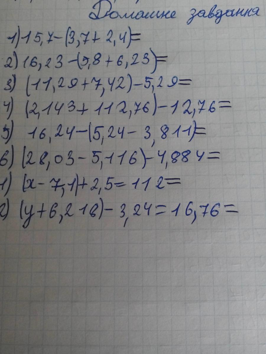
15,7-(3,7+2,4)=9,6
16,23-(5,8+6,23)=4,2
(11,29+7,42)-5,29=13,42
(2,143+112,76)-12,76=102.143
16,24-(5,24-3,811)=14,811
(28,03-5,116)-4,884=18,03
(х-7,1)+2,5=4.6
(у+6,218)-3,24=2.978
16,23-(5,8+6,23)=4,2
(11,29+7,42)-5,29=13,42
(2,143+112,76)-12,76=102.143
16,24-(5,24-3,811)=14,811
(28,03-5,116)-4,884=18,03
(х-7,1)+2,5=4.6
(у+6,218)-3,24=2.978
Вас заинтересует
2 года назад
2 года назад
2 года назад
2 года назад
7 лет назад
7 лет назад
9 лет назад
9 лет назад