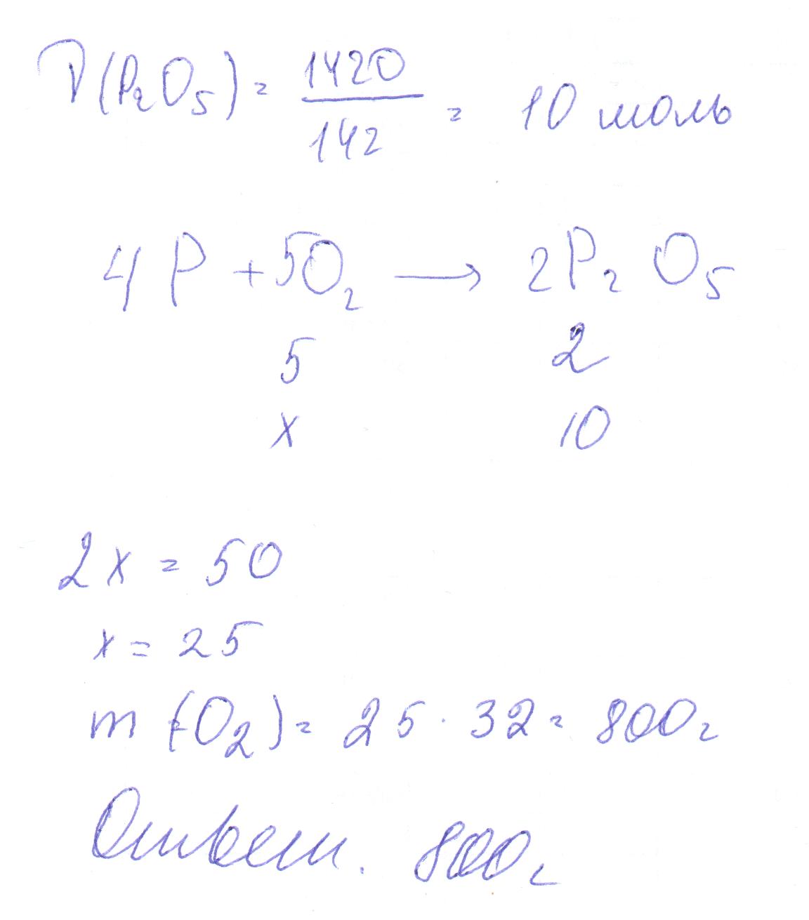
Фосфор сожгли в кислороде, получив оксид фосфора(5), какую массы кислорода затратили, если образовалось 1420г оксида фосфора(5).Решить задачу по уравнению реакции и составить правильное уравнение с коэффициентами.
Ответы
Ответ дал:
0
........................................................................
Приложения:

Вас заинтересует
2 года назад
2 года назад
8 лет назад
10 лет назад