• Предмет: Математика
  • Автор: Аноним
  • Вопрос задан 2 года назад

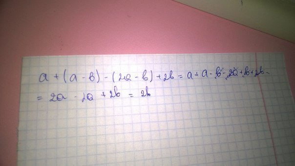
.упростите выражение a+(a-b)-(2a-b)+2b

Ответы

Ответ дал: Аноним
1
a+a-b-2a+b+2b=4b
Ответ:4b

Diana1567: це не првильна відповідь адже а+а=2а
Аноним: a+a-2a там так-то
Diana1567: ні..а 2б куди поділось?
Ответ дал: Diana1567
0
11111111111111111111
Приложения:
Вас заинтересует