• Предмет: Математика
  • Автор: alkolokoltseva
  • Вопрос задан 3 года назад

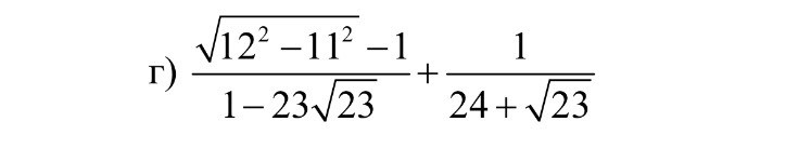
Помогите пожалуйста решить пример:

Приложения:

Ответы

Ответ дал: kirichekov
0
---------------------------------------------------------
Приложения:
Вас заинтересует