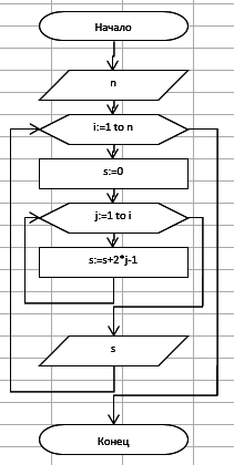
var
i,j,n,s:integer;
begin
readln(n);
for i:=1 to n do
begin
s:=0;
for j:=1 to i do
s:=s+2*j-1;
writeln(i,'*',i,'=',s);
end;
readln;
end.
Составьте блок схему на эту задачу пожалуйста.
Паскаль
Ответы
Ответ дал:
1
Прикрепил изображение.
Приложения:

artekartek989:
Конечно, спасибо вам!
Вас заинтересует
2 года назад
2 года назад
2 года назад
7 лет назад
7 лет назад
9 лет назад