объясните как решается 21 задание пожалуйста я в ступоре
Приложения:
danila27021999:
ну я не знаю только как А найти
Ответы
Ответ дал:
3
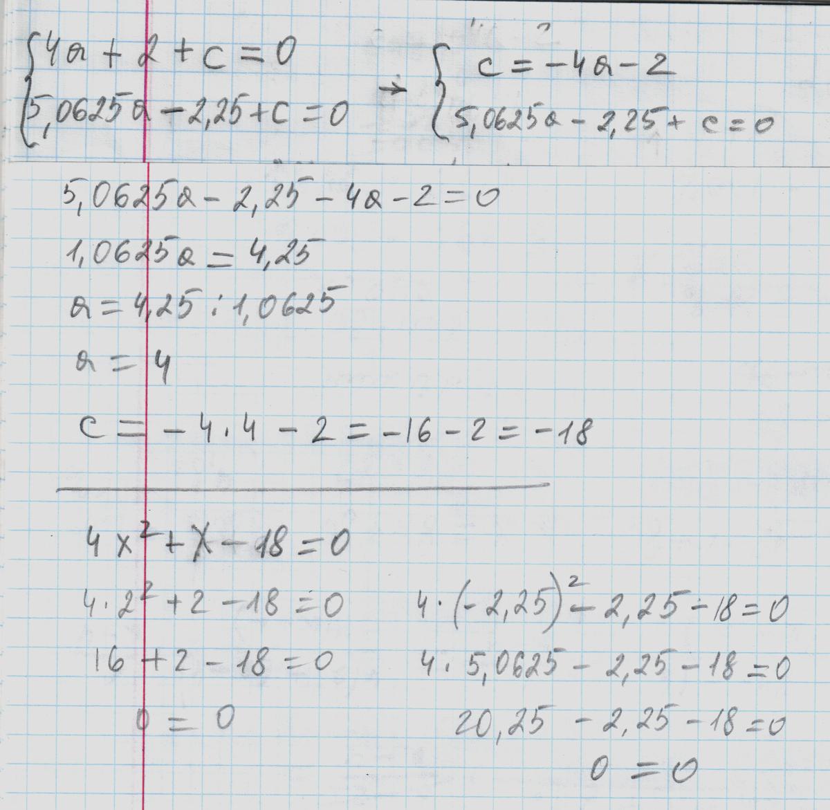
подставляя значения х,составляем систему уравнений
Приложения:
Ответ дал:
9
По теореме Виета
x1+x2 = -b/a;
2-2,25=-1/а
-0.25=-1/а;
a=4
x1*x2 = c/a
2*(-2,25) = с/4
-4,5=с/4
с = -18
x1+x2 = -b/a;
2-2,25=-1/а
-0.25=-1/а;
a=4
x1*x2 = c/a
2*(-2,25) = с/4
-4,5=с/4
с = -18
Вас заинтересует
2 года назад
2 года назад
2 года назад
7 лет назад
7 лет назад
9 лет назад