С какой скоростью должна лететь хоккейная шайба массой 160г, чтобы ее импульс был равен импульсу пули массой 8г, летящей со скоростью 600 м/c?
Ответы
Ответ дал:
0
Дано:
m1 = 160 г;
m2 = 8 г ;
v2 = 600 м/с
Найти v1
Решение приведено ниже
Приложения:

Ответ дал:
0
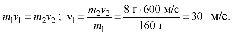
По закону сохранения импульса: m₁V₁=m₂V₂. Выразим из этой формулы первую скорость V₁:
V₁=(m₂V₂)/m₁=8*600/160=30 м/с.
Ответ: V₁=30 м/с.
Приложения:

Вас заинтересует
2 года назад
2 года назад
8 лет назад
8 лет назад
10 лет назад
10 лет назад