Велосипедист разгоняется по прямой дороге с постоянным
ускорением. Величина его скорости в интервале времени от 0 до 1 с
увеличилась в два раза. Во сколько раз увеличится его скорость в
интервале времени от 1 до 2 с?
Ответы
Ответ дал:
1
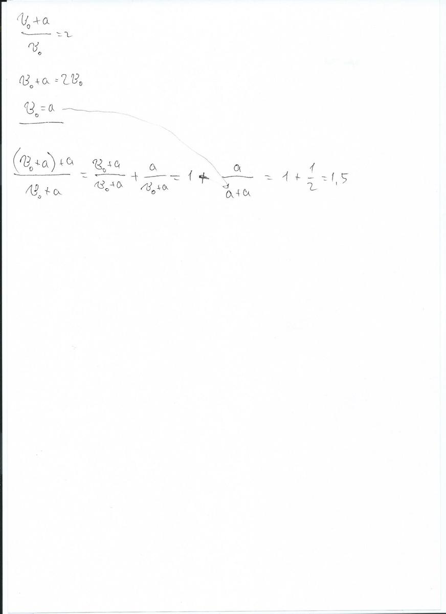
Поскольку велосипед двигается с постоянным ускорением, то за первую секунду его скорость стала равна v0+a (a - ускорение, умноженное на 1 секунду). Эта скорость в 2 раза больше, чем была до начала спуска, то есть (v0+a)/v0=2
Зная это, нам необходимо выразить ((v0+a)+a)/(v0+a) . Преобразования - в прикрепленном фале.
Ответ: увеличится в 1,5 раза
Зная это, нам необходимо выразить ((v0+a)+a)/(v0+a) . Преобразования - в прикрепленном фале.
Ответ: увеличится в 1,5 раза
Приложения:
maksnaletov:
*файле
Вас заинтересует
2 года назад
2 года назад
2 года назад
7 лет назад
7 лет назад
9 лет назад
9 лет назад