• Предмет: Математика
  • Автор: adilnoori
  • Вопрос задан 3 года назад

помогите решить 2 уравнение
1 уравнения
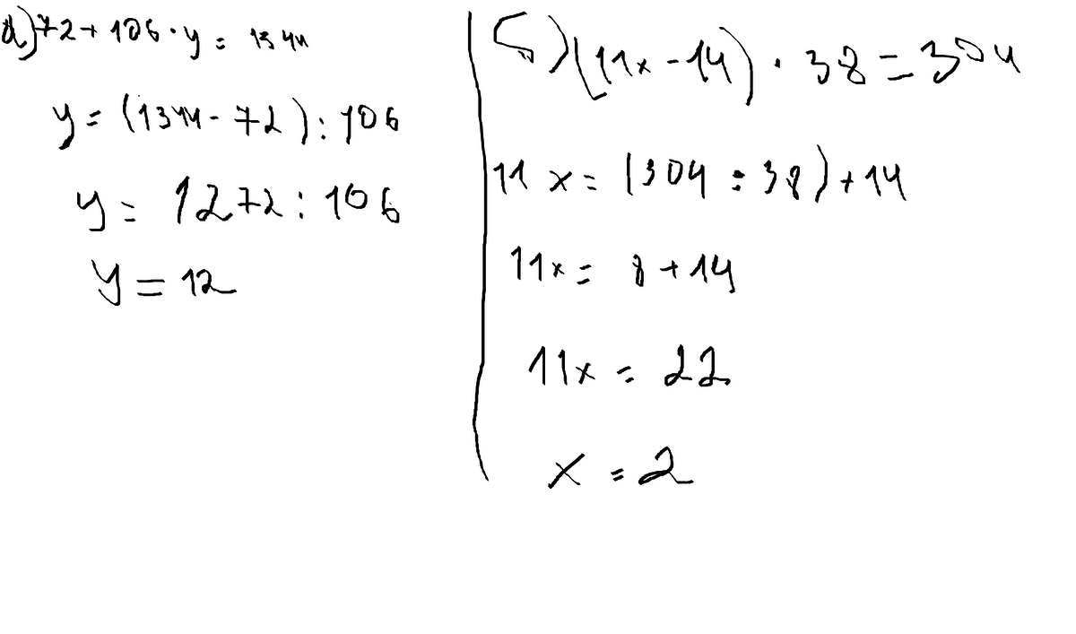
72+106*y=1344
2 уравнения
(11х-14)*38=304

Ответы

Ответ дал: NikakNiktoNigde
4


1)72+106у=1344

106у=1272

у=12

2) (11х-14)*38=304

418х-532=304

418х=836

х=2

Ответ дал: Алина9831
4
воооооооооооооооооот) не за что)
Приложения:
Вас заинтересует