• Предмет: Алгебра
  • Автор: lozhkinalana
  • Вопрос задан 3 года назад

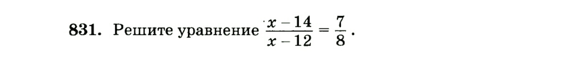
___________помогите_____________

Приложения:

Ответы

Ответ дал: lesnikjocker
0
8(х-14)=7(х-12)
8х - 112 = 7х - 84
х = 28
Вас заинтересует