• Предмет: Математика
  • Автор: neznacomech
  • Вопрос задан 3 года назад

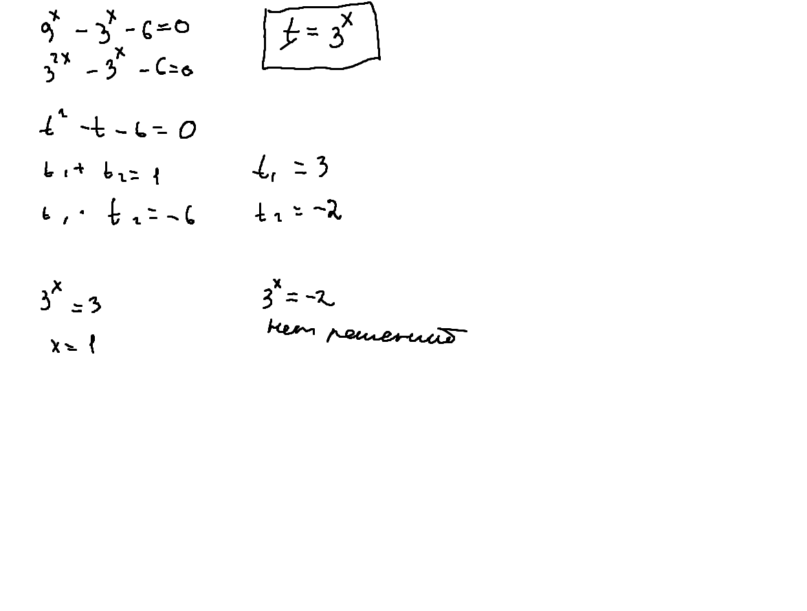
9^x-3^x-6=0 решите уравнение

Ответы

Ответ дал: MrLichinus
0
ответ: х = 1 ( . ) ( . )
Приложения:
Вас заинтересует