• Предмет: Математика
  • Автор: zainalovalinara
  • Вопрос задан 3 года назад

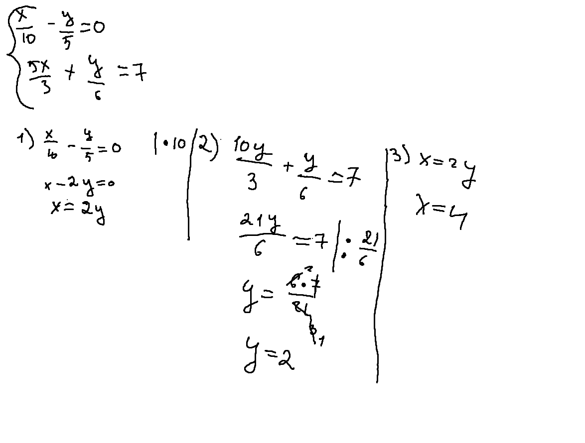
Решить систему уравнений способом подстановки(6 класс):
х/10-у/5=0
5х/3+у/6=7

Ответы

Ответ дал: MrLichinus
15
ответ: (4, 2) ( . ) ( . )
Приложения:

zainalovalinara: вот это можете сделать
zainalovalinara: {х/4+у/8=2 ,,2х/9+у/6=1
MrLichinus: возможно
zainalovalinara: пожалуйста
karinaaltynsar: спасибо)
karinaaltynsar: что написано где у=6*7/ на сколько((???
Вас заинтересует