Для каких значений аргумента х равны нулю значения функции:
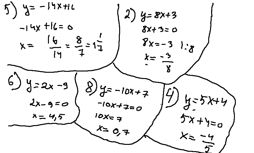
5)у=-14х+16
2)у=8х+3
6)у=2х-9
8)у=-10х+7
4)у=5х+4
Прошу помогите, даю 20 баллов, очень надо
Приложения:

Ответы
Ответ дал:
3
решил как смог, надеюсь вы знаете что такое десятичная дробь
Приложения:

Ответ дал:
21
5) у=-14х+16
-14х+16=0
-14х=-16
14х=16
Х=16/14
Ответ: 16/14.
2) у=8х+3
8х+3=0
8х=-3
Х=-3/8
Ответ: -3/8.
6) у=2х-9
2х-9=0
2х=-9
Х=-9 : 2
Х=-4,5
Ответ: -4,5.
8) у=-10х+7
-10х+7=0
-10х=-7
10х=7
Х=7/10
Ответ: 7/10.
4) у=5х+4
5х+4=0
5х=-4
Х=-4/5
Ответ: -4/5.
-14х+16=0
-14х=-16
14х=16
Х=16/14
Ответ: 16/14.
2) у=8х+3
8х+3=0
8х=-3
Х=-3/8
Ответ: -3/8.
6) у=2х-9
2х-9=0
2х=-9
Х=-9 : 2
Х=-4,5
Ответ: -4,5.
8) у=-10х+7
-10х+7=0
-10х=-7
10х=7
Х=7/10
Ответ: 7/10.
4) у=5х+4
5х+4=0
5х=-4
Х=-4/5
Ответ: -4/5.
Вас заинтересует
2 года назад
2 года назад
7 лет назад
7 лет назад