• Предмет: Математика
  • Автор: masya230506
  • Вопрос задан 2 года назад

составить уравнение.
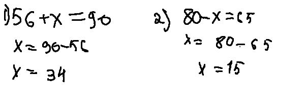
1) Сумма 56 и неизвестного числа равна разности 120 и 30.
2) Разность чисел 80 и х равна сумме 60 и 5.

Ответы

Ответ дал: MrLichinus
3
( . ) ( . ) ответ ( . ) ( . )
Приложения:

cikurii: второй пример не правильно
Ответ дал: Harry1798
6
1)56+х=120-30 2)80- х=60+5

cikurii: 56+х=120-30 1)120-30=90 2)х=90-56 3)х=34
cikurii: 80-х=60+5 1)80-х=65 2)х=65+80 3)х=145
Вас заинтересует