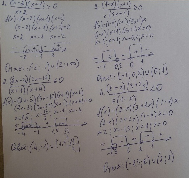
Решите неравенство
1)х^2-6x/x^2-6x+9 меньше или равно 0
2)х^2+9x+20/x+4 больше 0
3)х^2-6x/4-3x+x^2 больше или равно 0
4)2х^2+2x-24/x^2+х+1 меньше 1
Ответы
Ответ дал:
4
Если найдете ошибку пишите.
Приложения:

Fiorella:
здесь к сожалению не правильно(
Вас заинтересует
2 года назад
2 года назад
2 года назад
2 года назад