Ответы
Ответ дал:
4
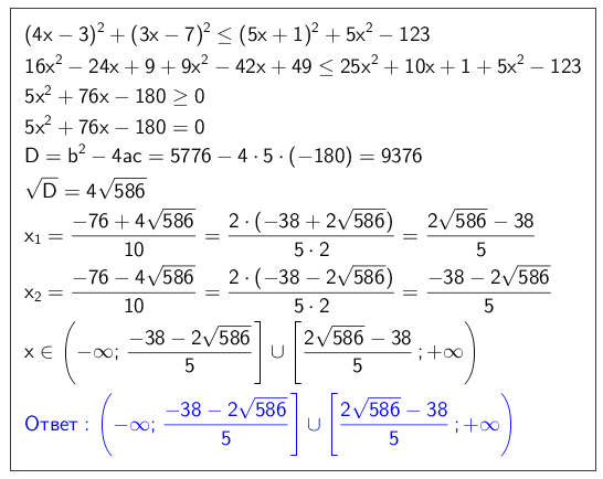
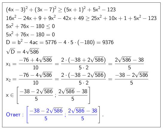
Смотрите решение в прикреплённом файле.
Приложения:


temari2501:
спасибо,но это не правильно
Вас заинтересует
2 года назад
2 года назад
2 года назад
7 лет назад
7 лет назад
9 лет назад
9 лет назад