Ответы
Ответ дал:
0
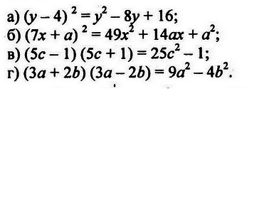
Это не примеры, а формулы, как раскрываются квадрат суммы или разности и разность квадратов.
Если тебе это задали, как уравнения, то во всех 4 случаях ответ: (-оо; +оо).
Если тебе это задали, как уравнения, то во всех 4 случаях ответ: (-оо; +оо).
Ответ дал:
1
Всё очень просто. Здесь формулы сокращенного произведения. ты по ним "сворачиваешь" или "разворачиваешь" виражение. Например,

NormalPeopleScoreMe:
В твоем учебнике есть все эти формулы. Просто вместо y или x будут цифры.
Вас заинтересует
2 года назад
2 года назад
2 года назад
2 года назад
7 лет назад
7 лет назад
9 лет назад