Ответы
Ответ дал:
1
Смотрите решение в прикреплённом файле.
Приложения:
Ответ дал:
1
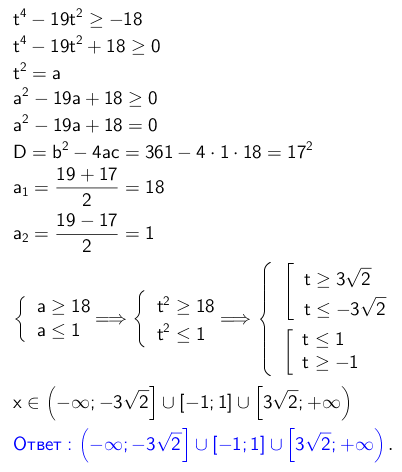
t² =x ; x ≥ 0.
x² -19x +18≥0⇔(x-1)(x-18)≥0 ;
(t² -1)(t² -18) ≥0;
(t-1)(t+1)(t -3√2)(t+3√2) ≥ 0;
(t+3√2)(t+1)(t-1)(t+3√2)≥0 .
+ - + - +
---------------- - 3√2 ------- -1----------- 1 ---------- 3√2 -----------
ответ: t ∈ (-∞;∞ -3√2] U [-1; 1] U [3√2 ; ∞) .
x² -19x +18≥0⇔(x-1)(x-18)≥0 ;
(t² -1)(t² -18) ≥0;
(t-1)(t+1)(t -3√2)(t+3√2) ≥ 0;
(t+3√2)(t+1)(t-1)(t+3√2)≥0 .
+ - + - +
---------------- - 3√2 ------- -1----------- 1 ---------- 3√2 -----------
ответ: t ∈ (-∞;∞ -3√2] U [-1; 1] U [3√2 ; ∞) .
Вас заинтересует
7 лет назад
7 лет назад
9 лет назад
9 лет назад