Ответы
Ответ дал:
1
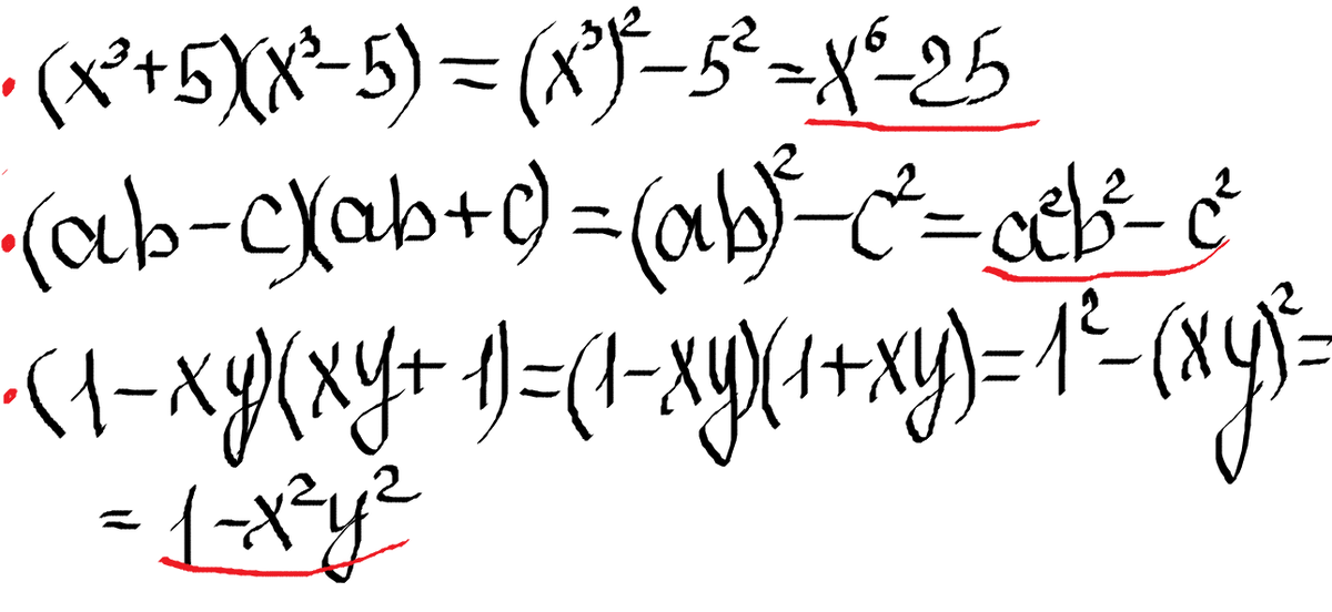
Решение в файле. Используется формула сокращенного умножения: a² - b² = (a - b)(a + b).
В последнем выражении вспоминаем о том, что "от перемены мест слагаемых сумма не меняется".
Darknight (Sunny Storm)
В последнем выражении вспоминаем о том, что "от перемены мест слагаемых сумма не меняется".
Darknight (Sunny Storm)
Приложения:
Вас заинтересует
2 года назад
2 года назад
2 года назад
2 года назад
7 лет назад
9 лет назад